股票投资是当今热门的投资选择之一,一方面可以让我们在业余时间赚点钱,另一方面给可以催促我们多了解一些时下的热点。但是现在很多股民在选择股票时,都有从众心理,看到别人买什么股票,自己也跟着买,结果往往适得其反。今天小编为大家准备了一份中石油股票投资分析报告范文,希望可以帮到广大的投资爱好者。
一、最近消息
20**年2月20日,中石油与美国康菲石油公司在北京签署相关协议。中石油将获取其两处位于西澳大利亚的勘探资产部分权益。同时,双方还将达成联合研究协议,共同开发研究中国四川盆地页岩气。
20**年2月25日中国石油(601857)押宝的波塞冬项目已超四年未盈利。根据双方协议,中石油将获取位于西澳大利亚海上布劳斯 (Browse)盆地波塞冬(Poseidon)项目20%权益,以及陆上凯宁(Canning)盆地页岩气项目29%权益。同时,双方将签署联合研究协议,研究位于四川盆地内江大足区块非常规天然气资源。上述协议需获得相关政府及合作伙伴批准。中石油表示,此次合作是公司与康菲公司全球合作的重要组成部分,也是公司加强西澳大利亚海上液化天然气和陆上非常规油气合作的重要举措。但是,中石油并未透露上述交易的价格。
上述交易中提到的波塞冬(Poseidon)项目,前景似乎并不乐观。在第一口勘探井打下之后曾发现过不错的天然气含量,但2009年开发第二口井的结果并不尽如人意,此后康菲公司在该项目上一直未有明显进展,迄今为止已逾四年未曾盈利。去年年底康菲公司对外公布的投资计划中,对波塞冬 (Poseidon)项目的表述是"将继续进行对Poseidon气田的评估工作",与过去两年表述类似,气田规模未有定论。虽然针对布劳斯 (Browse)区域油气资源的开采前景一直存在争论,但该地区存在丰富油气资源的可能性较高,中石油押宝此地区的做法非常果敢。但是,中石油对此次页岩气招标似乎没太多诚意。最终,只投了1个区块,且在资金投入上也远远低于其他企业,最后落选。而中石油彼时似乎有更长远的想法,将触角伸向了国外页岩气项目。去年12月,中石油以22亿美元(约合人民币137亿元)收购了加拿大能源公司Encana在阿尔伯塔省一处页岩气矿49.9%的股份。
在此之前,去年3月,壳牌与中石油签署中国首个页岩气产品分成协议,将与中石油共同勘探、开发及生产富顺-永川区块3500平方公里内的页岩气。
二、财务报表以及财务分析
1、运营能力分析

应收帐款周转率和周转天数:表示公司从获得应收帐款的权利到收回款项、变成现金所需要的时间。应收帐款周转率越高越好。它表明公司收帐速度快,平均收账期短,坏帐损失少,资产流动快,偿债能力强。与之相对应,应收账款周转天数则是越短越好。周转率越高,周转天数越短,说明应收账款收回的越快。如果比较慢,说明企业
的资金过多的呆滞在应收账款上,影响资金的获取能力。中国石化07年的应收账款周转率适中,说明作为打一个大的知名国企,它的变现速度与管理效率都是比较强的。08年应收账款周转率有所提高,周转天数相应降低,这说明中国石化收账速度有所提高,短期偿债能力增强,管理效率也有所提高,这其中有中国石化自身的因素,也有08年国际市场原油价格的大幅度攀升直接刺激了原油开采行业的增速提升这一外部因素。 09年,其周转率较08年下降不少,虽然比07年有所提高,这说明中国石化变现速度下降,收账能力有所减弱,资产流动性减弱,偿债能力下降,同样,除了中国石化自身内部因素以外,这也归因于全球经济危机对整个石油行业的影响。
存货周转率和周转天数:存货的周转率和周转天数反映存货转化为现金或应收账款的能力,是衡量企业生产经营各个环节中存货运营效率的一个综合性指标,存货周转速度越快,存货的占用水平越低,变现能力越强。中国石化07年的存货周转率一般,存货占用水平有些偏高,变现能力不够强。08年较07年相比,存货周转率有所提升,变现速度加快,资产占用率下降,这有利于提升中国石化的偿债能力与获利能力。09年,形式不容乐观,中国石化的存货周转率大幅下降,应该加强存货的管理,在保证生产连续性的前提下,尽可能减少存货占用经营资金,提高资金使用效率。
流动资产周转率和周转天数:是企业流动资产周转速度的指标,周转次数越多,周转天数越短,表明以相同的流动资产完成的周转额越多,流动资产利用效果越好,资产在经历生产和小受各阶段所占用的时间越短。07年,中国石化流动资产周转率较高,说明资产利用效果较好。08年较07年流动资产周转率有所提高,资产的周转速度更快,企业会相对节约流动资产,等于相对扩大资产投入,增强企业盈利能力。09年,流动资产周转率下降,但依然维持在较高水平,依然能保持其流动资产的较好利用。
总资产周转率:是指企业在一定时期主营业务收入净额同平均资产总额的比率,体现了企业经营期间全部资产从投入到产出的流转速度,反映了企业全部资产的管理质量和利用效率。总资产的周转速度越快,销售能力越强,资产利用效率越高。07年,中国石化的资产周转速度低于行业的平均水平,说明销售能力与资金利用率不足,08年较07年有所好转,但是09年,总资产利用率又出现下降情况,应该进一步采取措施,加速资产的周转,增加利润。
2、盈利能力分析

每股收益:指税后利润与股本总数的比率。它是测定股票投资价值的重要指标之一,是分析每股价值的一个基础性指标,是综合反映公司获利能力的重要指标,是公司某一时期净收益与股份数的比率。07年,中国石化每股收益较高,说明公司获利能力较强,而在08年,虽然依然高于行业平均水平,但是对比07 年,每股收益大幅下降,这也许是受到国际油价走高的影响。09年,每股收益又大幅回升。
资产净利率:指标反映的是公司运用全部资产所获得利润的水平,即公司每占用1元的资产平均能获得多少元的利润。该指标越高,表明公司投入产出水平越高,资产运营越有效,成本费用的控制水平越高。07年,中国石化资产净利率较高,表明资产
的利用效率较高。08年,资产净利率较07年相比大幅下跌,这说明公司的获利能力下降,反观08年利润表可知,当年营业成本较高,因而利润较低。09年,资产净利率有所上升。
销售净利率:指企业实现净利润与销售收入的对比关系,用以衡量企业在一定时期的销售收入获取的能力。该指标费用能够取得多少营业利润。07年,中国石化销售净利率较高,表明当年销售利润比较可观。08年,销售净利率较07年大幅度降低,这说明公司销售利润较低,这与08年成本较高而销售额却变化不大有很大关系。09年,销售净利率有所上升。
资产报酬率:指企业一定时期内息税前利润与资产平均总额的比率。用以评价企业运用全部资产的总体获利能力,是评价企业资产运营效益的重要指标。总资产报酬率越高,表明资产利用效率越高,说明企业在增加收入、节约资金使用等方面取得了良好的效果,企业投入产出的水平越好,企业的资产运营越有效。07年到09年,中国石化的资本报酬率虽然有一定起伏,但是总体都能保持比较高的水平,说明还是拥有比较稳定且较高水平的营运能力。
3、长期偿债能力分析

利息支付倍数:指企业经营业务收益与利息费用的比率,用以衡量偿付借款利息的能力,也叫利息保障倍数,它反映获利能力对偿债偿付的保证程度。利息支付倍数越高,企业长期偿债能力越强。从总体上看,3年来中国石化的利息支付倍数都比较高,说明中国石化在偿债方面有一定的能力。但是也可以看出倍数波动变化相当大,08年出现很大幅度下滑,虽然09年再次回升,但也应有所警示。
股东权益比率:指股东权益与资产总额的比率,该比率反映企业资产中有多少是所有者投入的。股东权益比率应当适中,如果权益比率过小,表明企业过度负债,容易削弱公司抵御外部冲击的能力,而权益比率过大,意味着企业没有积极地利用财务杠杆作用来扩大经营规模。从总体上看,3年来中国石化的股东权益比率都维持在45%左右,说明公司在积极利用其他资金的同时,也注意负债比重的控制,但是整体上看有些偏低。
产权比率:指负债总额与股东权益总额的比率,也称负债股权比率。三年来,中国石化的产权比率逐年递减,说明负债在不断减少。
资产负债率:是负债总额除以资产总额的百分比,也就是负债总额与资产总额的比例关系。资产负债率反映在总资产中有多大比例是通过借债来筹资的,也可以衡量企业在清算时保护债权人利益的程度。中国石化3年来的资产负债率基本持平,稍高于行业平均水平,说明其偿还债务存在一定风险,资本机构不是很安全。
4、短期偿债能力分析

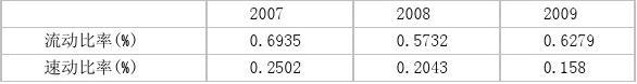
流动比率:指流动资产对流动负债的比率,用来衡量企业流动资产在短期债务到期以前,可以变为现金用于偿还负债的能力。流动比率反映了企业资产中比较容易变现的流动资产对流动负债的保障情况,一般生产企业合理的最低流动比率为2,石油行业的平均值也2到4之间变动,而中国石化的流动比率一直在1以下,非常的低,说明其短期偿债能力很差,难以如期偿还短期债务。
速动比率:是指速动资产对流动负债的比率。它是衡量企业流动资产中可以立即变现用于偿还流动负债的能力。3年来,中国石化的速动比率在逐年降低,并且一直远远低于行业平均水平,短期偿债能力不足,短期债权人对该公司的短期偿债能力表示担忧。
三、有关行业的分析报告
1、全球化竞争剧烈 随着经济全球化进程明显加快,世界范围内投资、生产和销售的无序竞争状态加剧。2003 年以来, 这种全球化的趋势更加明显。就石油石化行业而言,在以世界4 大超巨型石油石化公司,埃克森美孚、BP阿莫科、壳牌、道达尔菲纳-埃尔夫为核心的欧美大跨国公司,正凭借其规模实力和技术优势在对世界石油石化业的发展产生深远的影响。
2、环境与发展的挑战 目前世界各国都按照可持续发展战略来发展各自的经济。石油石化业在为全球经济做出巨大贡献的同时,其产业本身的发展所带来的空气污染、酸雨、臭氧层变薄、全球气候变暖等诸多环境问题也成为关注重点。这种现象,使得作为主要环境污染源之一的世界石油石化业所承受的压力也正在越来越大。
3、石油资源配置的挑战 当今石油的最大的挑战还是表现在有限的石油资源上。就是国际化经营以及实现世界油气资源分享带来的挑战;具体而言,也是勘探成熟度不断提高、勘探对象日趋复杂、石油质量日益变差、国际石油价格剧烈波动所带来的挑战。 首先,从供需总量看,近年尽管在不断地勘探开发中有新的发现,但总地来说,地球上的石油资源是在减少,而石油消费量却持续增长。这种供需上此消彼长的远景,无疑会促使原油价格的不断上扬。其次,从供需格局看,发达国家因能源效率不断提高、产业结构逐步调整、经济增长缓慢,石油需求增长减缓。发展中国家特别是亚太地区,由于石油产量增长缓慢、消费猛增,成为世界石油供需矛盾最尖锐的地区。据有关统计数据,目前世界前6 大石油消费国中有3个是亚洲国家,即中国、日本和韩国,这三国石油缺口占亚太地区供需缺口的80%以上。2003 年,非欧佩克石油产量有所上升,欧佩克的石油供应政策正受到越来越多的质疑,甚至是来自于它的内部。石油资源分布的不均衡性在各大洲、各大国之间,引发资源供需双方的矛盾继续成为2003 年原油价格波动的主要动因。
4、盈利空间减少 由于石油、石化业正走向成熟,市场空间减少,竞争加剧而费用增加,直接导致目前世界石油石化业的获利空间减小,不少石化企业甚至出现亏损。此外,从成品油到石化产品,行业竞争在总体上呈现供大于求的局面,并且,这种供大于求的态势短期内很难减缓。提高企业的经济效益,成为当前石油石化工业面临的最敏感话题。因此,如何在满足经济持续增长要求的同时,保障国家能源的需要是一个十分重要的问题。
本站内容如无特别说明,均来自网络和网友投稿!如侵犯了您的权利,请联系我们删除。
- 上一篇:建筑公司消防验收申请报告
- 下一篇:国有企业党建工作述职报告